家电维修技术网-长虹CRT机芯与机型及其后缀对应表(图) 家电维修技术网
X
  • 首页
  • 彩电维修资料
  • 彩电总线调整
  • 维修基础
  • 电子线路
  • 电子制作
  • 空调制冷
  • 说明书
  • nbsp
  • 电压
  • 故障
  • 电路
  • 输出
  • 开机
  • 电源
  • 信号
  • 电容
  • 伴音
  • 电阻
  • 检查
  • 更换
  • 代换
  • 击穿
  • 查看更多热门标签

首页 > 长虹彩电维修 > 正文

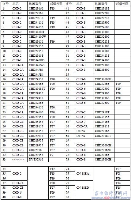
长虹CRT机芯与机型及其后缀对应表(图)

2012-10-24 18:48:02  阅读 440 次 评论 0 条
长虹CRT机芯与机型及其后缀对应表(图) 第1张
长虹CRT机芯与机型及其后缀对应表(图) 第2张
版权声明:本文为转载文章,版权归原作者所有,欢迎分享本文,转载请保留出处!
点赞
分享:
PREVIOUS:TCL LCD电视线路原理(多图)
NEXT:长虹SF2539(CH-16机芯)不开机,指示灯不亮

文章导航

相关文章 关键词:长虹机芯对照表
  • •LED液晶电视背光控制块BD9479工作特点与故障维修
  • •液晶电视不开机的故障维修思路与检修方法
  • •长虹HS488-4N01电源板无电压输出故障维修
  • •长虹等离子电视故障速查一览表
  • •长虹等离子电视机型机芯与屏型对照表
  • •创维液晶电视开机打印信息解析与故障诊断
  • •TCL V8-OMT5508LF1V023和V8-OMT5508LF1V011工程模式projectlnfo项机型和屏号对照表
  • •海信部分液晶电视软件升级方法对照表

最近发表

  • 27/02月
    创维40X6液晶电视开机三无的故障维修
  • 26/02月
    创维47E600Y液晶电视无伴音的故障维修
  • 26/02月
    TCL液晶电视TV3205-ZC02-01(A)电源板电路原理与故障维修
  • 25/02月
    长虹UD42C6080iD液晶电视电源指示灯闪不开机的维修
  • 25/02月
    创维42E380S液晶电视指示灯绿灯亮无背光
  • 25/02月
    三星UA50F5080AR液晶电视红灯瞬间闪烁而后常亮不开机

标签列表

nbsp 电压 开机 故障 检查 电容 行管 电源 击穿 信号 电路 高压包 伴音 电阻 负载 光栅 输出 存储器 焊点 晶振
    Copyright © 2023 Howtod.com 浙ICP备16006877号-11